工口漫画
工口漫画
工口漫画概况
学院寄语
工口漫画简介
学院愿景与使命
现任领导
院徽
院训
主题色
历任领导
学院历史
年度报告
机构设置
办公机构
教学机构
科研机构
党建园地
工作构架
学院党委成员
学院纪委成员
党建纪实
师资队伍
师资概况
杰出人才
在职教师
博士生导师
荣休教师
教育教学
本科生项目
研究生项目
国际项目
学科建设
学科概况
应用经济学
管理科学与工程
工商管理
科学研究
科研项目
科研成果
研究平台
学术动态
智慧经管
工会工作
工会委员
工会活动
经管印象
校友园地
经管校友会
MBA校友会
校友风采
下载专区
教师
本科生
研究生
English
导航
工口漫画
图片新闻
工口漫画新闻
工口漫画公告
学术研究
党建工作
学生工作
本科生培养
研究生培养
校园生活
校友风采
一周安排
工口漫画概况
学院寄语
工口漫画简介
学院愿景与使命
现任领导
院徽
院训
主题色
历任领导
学院历史
年度报告
机构设置
办公机构
教学机构
科研机构
党建园地
工作构架
学院党委成员
学院纪委成员
党建纪实
师资队伍
师资概况
杰出人才
在职教师
博士生导师
荣休教师
教育教学
本科生项目
研究生项目
国际项目
学科建设
学科概况
应用经济学
管理科学与工程
工商管理
科学研究
科研项目
科研成果
研究平台
学术动态
智慧经管
工会工作
工会委员
工会活动
经管印象
校友园地
经管校友会
MBA校友会
校友风采
下载专区
教师
本科生
研究生
English
工口漫画
图片新闻
工口漫画新闻
工口漫画公告
学术研究
党建工作
学生工作
本科生培养
研究生培养
校园生活
校友风采
一周安排
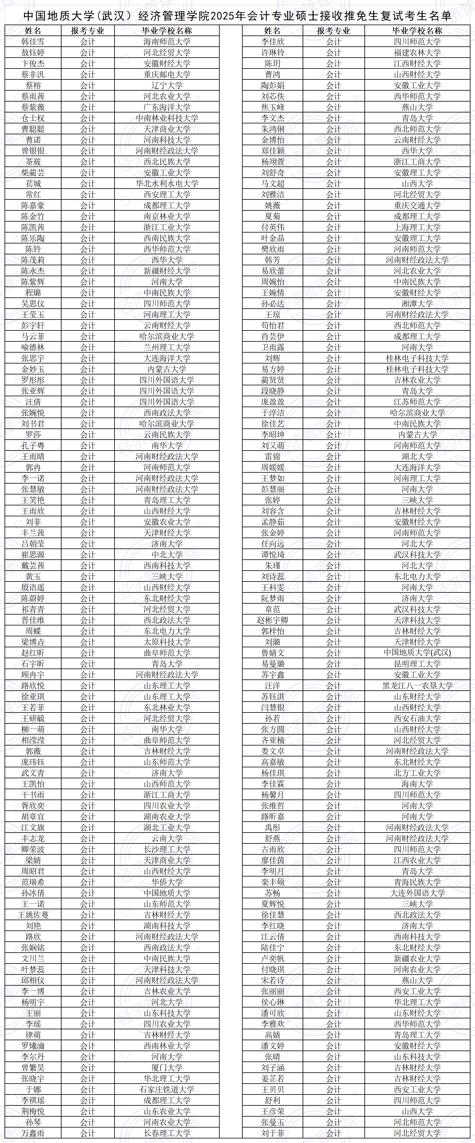
【会计专硕】中国地质大学(武汉)工口漫画 2025年会计专业硕士接收推免生复试考生名单
发布人:陈永佳
发布时间:2024-09-24
点击次数:
版权所有:工口漫画-漫画工口|污污漫画
电话:027-67883201 邮编:430078
ICP备案号:
鄂ICP备05003343号